音声教材とは何か?

文部科学省によると、音声教材とは「発達障害等により、通常の検定教科書では一般的に使用される文字や図形等を認識することが困難な児童生徒に向けた教材で、パソコンやタブレット等の端末を活用して学習する教材」と定義されています。
令和6年7月19日より、日本語指導が必要な児童生徒も音声教材を利用することができるようになりました。

音声教材は、文部科学省が委託する「音声教材の効率的な制作方法等に関する調査研究」事業として、2025年現在、6つの製作団体が、ボランティア団体等の協力を得ながら音声教材を製作し、読み困難および日本語指導が必要な児童生徒に無償で(一部、機器や郵送の実費負担が必要となる場合があります)提供しています。

音声教材は、児童生徒のニーズに合ったものを選択し、ご利用いただくのがおすすめです。
また、各団体が製作している音声教材にはそれぞれ特徴がありますので、状況に応じて組み合わせて活用される場合もあります。
同じ教科書について、複数の団体が提供する音声教材を併用できることも覚えておきましょう。

法的根拠

音声教材は、以下の法律に基づき、東京大学先端科学技術研究センター社会包摂システム分野と共同で、 同センター図書室によって提供されています。

  • 著作権法第37条第3項
  • 教科書バリアフリー法(障害のある児童及び生徒のための教科用特定図書等の普及の促進等に関する法律)
  • 著作権法第33条の2
  • 図書館の障害者サービスにおける著作権法第37条第3項に基づく著作物の複製等に関するガイドライン

AccessReadingの音声教材を学ぶ

DOCXの特徴を学ぶ


DOCX形式

Windows版のMicrosoft WordまたはGoogleドキュメントを使用して、音声教材を読み上げさせることができます。特に断りがない限り、Wordのバージョンはoffice 365とします。
Googleドキュメントはオフラインでは基本エディタモードでファイルを開くため、使用できる機能に限りがあります。オンラインで開く場合には、より多くの機能を利用できます。

DOCX形式の音声教材で使用できる便利な機能 ーWindows版の使い方ー

DOCX形式の音声教材で使用できる便利な機能 ーchromebook版の使い方ー

音声教材を使用する際に便利な機能

文字の大きさの変更、フォントの変更、ルビの追加、文字列の方向の変更、ページの背景色の変更

文字の大きさの変更、ルビの追加

Microsoft Word の画面上部にあるメニュー(「リボン」と呼ばれます)のうち、「ホーム」にある機能を使って行えます。

フォントの変更、ページの背景色の変更

リボンの「デザイン」にある機能を使って行えます。(Word 2010 は「ページレイアウト」)

文字列の方向の変更

リボンの「レイアウト」にある機能を使って行えます。(Word 2010 と 2013 は「ページレイアウト」)

「見出し」機能や「文書の検索」機能を使ってのページ移動

リボンの「表示」をクリックし、「ナビゲーションウィンドウ」のチェックボックスにチェックを入れます。 画面左側にナビゲーションウィンドウが表示されますので「見出し」をクリックします。 見出しのリストが表示されますので、読みたい箇所の見出しをクリックすることで、そのページに移動することができます。 また「文書の検索」に、開きたいページ番号を入力してページ移動することもできます。

Wordの画面のようすです。リボンと呼ばれるツールバーの「表示」メニューが開かれています。
							「表示」メニューの中にある「ルーラー」や「グリッド線」といった文書の表示に関する項目が並んでいる箇所に「ナビゲーションウィンドウ」があり、赤い四角で目立つように印がつけてあります。
							「ナビゲーションウィンドウ」のチェックボックスには印が入っており、リボンの下のWordの本文が記載される画面が縦に2分割され、左側に「ナビゲーション」が表示されています。
							ナビゲーションウィンドウ内の検索ができる検索ボタンと、希望の項目名を押すと文書内の該当の場所まで移動できる「見出し」の箇所も目立つように赤い四角で印がつけられています。
							「見出し」の大項目は小さい三角印を押すことで中項目以降の表示・非表示を切り替えることができ、また、ナビゲーションウィンドウの幅は、ウインドウの右端をドラッグすることで変更が可能です。

文章の音声読み上げ

WindowsのWordで音声読み上げをするためのアドインソフトのご紹介です。

「読み上げアドオンソフト WordTalker」の利用について

WordTalkerはWindowsのWordで音声読み上げをするためのアドインソフトです。

読み上げだけでなく、様々なサポート機能が充実しています。オンライン図書館機能は、AccessReadingと連携しており、ログインを行うと、ダウンロードした教科書が表示されるようになり教科書が利用しやすくなります。

本来有償のソフトなのですが、提供元のご好意によりAccessReading個人ユーザーは、AccessReading Editionをお使いいただけます。使用を希望される方は以下より申請をしてください。

WordTalkerのインストール方法、使い方については こちら

WordTalkerのお申込み

「読み上げソフト 和太鼓 (Wordaico)」の利用について

Microsoft Word に無料の読み上げアドインソフト「和太鼓 Wordaico」をインストールして、音声読み上げする方法をご紹介します。

「和太鼓 Wordaico」を導入することにより、読み上げている文字のハイライト化、読み上げ速度の変更、単語ごとに区切って読む等の機能が追加されます。

インターネットより「読み上げソフト(和太鼓 Wordaico)」のサイトに行き、インストールします。
サイト内にインストール方法や各種機能、設定方法が説明されていますので、そちらを参照してください。

和太鼓(Wordaico)

Microsoft Wordの「和太鼓」を開き、読み上げさせたい文章の始めにカーソルを置き、コマンド「カーソルからよみあげ」を押すと、読み上げている箇所をハイライトさせながら、音声読み上げさせることができます。

和太鼓がインストールされたWordの画面のようすです。リボンと呼ばれるツールバーの「和太鼓」メニューが開かれています。
							和太鼓のメニューには「音声読み上げ」「録音と音声などの設定」「表示とふりがな」の項目があります。
							図にはリボン上にある「和太鼓」の名称が赤い四角の枠で囲われており、そこから再生ボタンをあらわす三角形の矢印に向かって線が引かれ強調されています。

★Windows8 以降は、事前に日本語音声エンジンが備わっていますが、Windows7 以前は、別途、日本語の音声エンジンのインストールが必要です。

ボイスソムリエネオ(パーソナルモデル)のご紹介

AccessReadingより配信される教材データの読上げ用途にのみご利用いただけます。

ボイスソムリエネオ

EPUBの特徴を学ぶ

EPUB形式

EPUB形式のファイルを開くことができるアプリケーションがインストールされたタブレット端末等の機器であれば、どの機器でも使用が可能です。Android、Chromebookの場合は、Google Play ブックスのアプリで読み込むことができます。iPhone、iPadなどiOSおよびiPadOSのタブレット端末に標準で備わっているアプリケーション「ブック」を使用して教科書を読む方法をご紹介します。

EPUB形式の音声教材で使用できる便利な機能 ーiPadでの使い方ー

音声教材を使用する際に便利な機能

文字の大きさの変更、フォントの変更、ページの背景色の変更

ブック の画面右上にある「AA」の機能を使って、文字の大きさの変更、フォントの変更、ページの背景色の変更ができます。

「目次」機能や「検索」機能を使ってのページ移動

ブック で教科書を開き、目次一覧をタップします。表示されたリストから、開きたい箇所の目次をタップすることで、そのページに移動することができます。 また、画面右上の虫眼鏡のアイコンを押すと文書の検索ボックスが表示されます。 そこに調べたい語句や教科書のページ番号を入力すると、目的のページに移動することができます。

「ブック」で開かれた教科書の説明です。
							画面の上部に「光村図書 国語 五 銀河」という教科書のタイトルが書かれています。
							タイトルの左側に「ライブラリ」と「目次」を表す三本線のマーク、右側に「文字のおおきさの変更」を表すアルファベットの「A」、「文書内の検索」を表す虫眼鏡マーク、「しおり機能」を表すしおりマークが書かれています。
							タイトル左側の目次マークと右側の文書内検索マークが赤い四角で囲まれ、それぞれ「目次一覧」「文書の検索」という説明が書かれています。
							教科書タイトルの下には教科書の本文と挿絵があり、画面の左側に教科書の本文、右側に挿絵が描かれています。
							ここからはブックに書いてある本文の説明なので読み飛ばしても問題ありません。
							本文の冒頭には「あめ玉 新」という文章のタイトルが大きく書かれています。
							その下に根本 孝 絵、と挿絵の作者名が書かれています。
							本文には「春のあたたかい日のこと、わたしぶねに二人の小さな子どもをつれた女の旅人が乗りました。舟が出ようとすると、『おうい、ちょっと待ってくれ。
							』と、土手の向こうから手をふりながら、さむらいが1人走って」と書かれています。
							挿絵には、満開の大きな桜の木とその左下に藁ぶき屋根の家が描かれ、奥には川があります。
							川面には桜の花びらが散っている様子が描かれています。

文章の音声読み上げ

iPad の標準機能を使って文章を読み上げさせることができます。 画面全体を読み上げさせる「画面の読み上げ」機能と、選択した部分のみを読み上げさせることができる「選択項目の読み上げ」機能の2種類があります。

★iPad 等では、標準の状態では、これら2種類の読み上げ機能は無効になっています。 有効にする方法は以下をご覧ください。また、同じ設定画面内に、読み上げている箇所を強調表示する機能の設定もあります。

iPad 等の読み上げ機能と、読み上げ箇所の強調表示機能とを有効にする方法

iOS12以前の場合

「設定」を開き「一般」の中から「アクセシビリティ」を開きます。「スピーチ」を開くと、「選択項目の読み上げ」と「画面の読み上げ」の項目がありますので有効にします。

読み上げの速度は、同じ画面の下方にある「読み上げ速度」のスライダーを動かして調整してください。

「選択項目の読み上げ」の項目の下方に「内容を強調表示」がありますので有効にします。

iOS13以降、iPadOS13以降の場合

「設定」を開き「アクセシビリティ」の中から「読み上げコンテンツ」を開きます。「選択項目の読み上げ」と「画面の読み上げ」の項目がありますので有効にします。

読み上げの速度は、同じ画面の下方にある「読み上げ速度」のスライダーを動かして調整してください。

「選択項目の読み上げ」の項目の下方に「内容を強調表示」がありますので有効にします。

画面の読み上げ機能を使用する

ブックで教科書を開き、読み上げさせたいページを開きます。画面上部から下部に向かって二本指で画面をなぞります。 黒いポップアップウィンドウが表示され、画面に表示されている文章全てを、上から順に読み上げてくれます。

「ブック」で開かれた教科書の説明です。
							画面の上部に「国語 五 銀河」という教科書のタイトルが書かれています。
							タイトルの右側に「文字のおおきさの変更」を表すアルファベットの「A」、「文書内の検索」を表す虫眼鏡マーク、「しおり機能」を表すしおりマークが書かれています。							
							教科書タイトルの下には教科書の本文が表示されており、「あめ玉 新見南吉 作」という文章のタイトルが書かれています。
							画面の下には音声読み上げ用のツールバーが黒いポップアップウィンドウとして「ブック」というタイトル名とともに表示されています。
							音声読み上げのツールバーには、メニューアイコンを表示させるための三角形のアイコン、文章を選択する人差し指のアイコン、
							頭出しを表す1本の縦線と頂点が左を向き進行方向と逆であることを表した縦線と三角形のアイコン、
							早送りを表す頂点が右を向いた進行方向を表す三角形の隣に1本の縦線を描いた三角形と縦線の早送りのアイコン、
							多くの項目を一覧で表示するための三点リーダーのアイコン、ツールーバーを閉じるためのバツ印のアイコンが記されています。

選択項目の読み上げ機能を使用する

ブック で教科書を開き、読み上げさせたい文章を1秒ほど長押しします。 押した箇所にある文字が青く選択されるので、青いバーを動かして読み上げさせたい文章を選択します。 黒い吹き出しが表示されるので、その中から「読み上げ」を押すと、選択した文章を読み上げさせることができます。

「ブック」で開かれた教科書上で選択した文章を読み上げる機能を使用しているようすの説明です。					
							画面には教科書の文章が表示されており、「あめ玉 新見南吉 作」という文章のタイトルの下に本文が書かれています。
							表示されている本文は、一部が選択された状態になっています。
							選択部分は背景色が薄青色になっており、どこが選択されているのかがわかりやすくなっています。
							選択部分の近くには吹き出しの形で黒いツールバーが表示されています。
							ツールバーには「読み上げ」「コピー」「ハイライト」「メモ」「検索」「共有」という項目があり、「読み上げ」の部分に赤い四角の枠で目印がつけられています。
							以下は本文の選択部分の文章です。
							「春のあたたかい日のこと、わたしぶねに二人の小さな子どもをつれた女の旅人が乗りました。」

凡例について学ぶ

AccessReadingの音声教材の凡例について

AccessReading(以下、AR)が製作・提供する音声教材は、紙の検定教科書を電子化するにあたって、本文の音声読み上げの妨げにならないよう、紙の検定教科書と一部仕様を変更している場合があります。
以下にARの音声教材の仕様を掲載しますので、活用の際に参照をお願いいたします。
以下の1番から7番につきましては、ARの音声教材の最後に掲載している、音声教材製作者奥付にもある内容です。

  • 1. このデータは全文校正を行っています。
  • 2. 国語や道徳など一部の書目で、ページ下部にある原本の脚注は、本文の音声読み上げの妨げにならないよう、本文の途中ではなく、該当章・節・項の終わりにまとめて配置しています。
  • 3. ページ区切りで文が途切れる場合、読みやすさや本文の音声読み上げの妨げにならないように、後続ページの句点までを、前のページに配置しています。
  • 4. 本文にある注(注番号や人物の生没年、本文の脇に部分的にある現代語訳など)について、原本では上付きや該当語句の下部等に配置されているものは、本文内の該当する語句の後ろに挿入しています。
  • 5. 「啄」など、教科書紙面上では旧字体である漢字を、新字体で表現しています。
  • 6. 年表や巻末などを省略している場合があります。テキスト化されていない場合は、画像を配置しています。
  • 7. テキストでは再現できない文字は、画像として挿入するか、《〓》と記述しています。

仕様につきましては、随時追加・更新していく予定です。

全体的な体裁

テキスト起こしのルール

テキスト起こしの全体的な順番としては、教科書紙面が横書きの場合は、原則左上から右下への順番です。また原則、あれば、タイトルや学習目標を先にテキスト起こしし、そのあとに本文、その他の地図や傍注といった内容を配置しています。

巻頭巻末資料は基本的にテキストに起こしていませんが、巻頭に教科書の使い方、例えば、繰り返し出現するアイコンなどの紹介ページ、がある場合には文字起こしをしています。

教科書紙面が縦書きの場合は、原則右上から左下への順番で、テキストに起こしています。ただし国語や道徳など一部の書目では脚注は別途まとめています。画像はなるべくキリがいいように、段落などの間に入れますが、1ページの中で複数の段落がない場合は、より画像と関連が近い文章の近くに配置するようにしています。

教科書紙面上ではどうかに関わらず、本文中の「?」、「!」は、英語文中では半角、それ以外は全角で統一しています。

グラフなどの出典情報は、以下の画像のA・B・Cのように、表示される場所にバリエーションがあります。製作上の都合により、テキスト起こししている場合と、そうでない場合がありますが、より製作時期が新しい書目については、表示される場所に関わらず、テキスト起こしするようにしています。

グラフなどの出典情報の表示例
グラフなどの出典情報を表示する際の場所の事例の図が描かれています。Aはグラフのタイトル脇に表示、Bはグラフの右下に表示、Cはグラフの外側に表示されています。

校正のルール

ARの音声教材では、小中高校すべての提供書目について、全文校正しています。

ルビ

小中高校すべての書目はルビなしで提供いたします。

レイアウト

本文、脚注を問わず、ページ区切りで文が途切れる場合、読みやすさや本文の音声読み上げの妨げにならないように、後続ページの句点までを、前のページに配置しています。

例1:教科書紙面上で、以下のように「ある日の事でございます。」の一文が2ページにまたがった場合

50ページ

ある日の事でござい

51ページ

ます。御釈迦様は…

ARの音声教材では、「ます。」を前のページに移動させています。

50ページ

ある日の事でございます。

51ページ

御釈迦様は…

例2:カギ括弧が文に続く場合(教科書紙面が以下のようになっている場合)

50ページ

あきらさんは、

「今日はとても暑

51ページ

い日です。」

と言いました。のぞみさんはそれを聞いて…

ARの音声教材では

50ページ

あきらさんは、

「今日はとても暑い日です。」

と言いました。

51ページ

のぞみさんはそれを聞いて…


というまとめ方をしています(ただし、製作時期などによっては句点と閉じカギ括弧までだけを前のページに移動されている場合もあります)。

脚注

国語や道徳など一部の書目で、ページ下部にある原本の脚注は、本文の音声読み上げの妨げにならないよう、本文の途中ではなく、該当章・節・項の終わりにまとめて配置しています。
その際、脚注をまとめた部分には「脚注」と書かれた見出しがつけられ、その見出しは付随する項目より一つ小さい見出しです。

例:第1章1節物語Aの、xxページの脚注ooは、以下のように記述されます。

(見出し)第1章 物語

(見出し)1節 物語A

(物語Aの本文)

(見出し)脚注

xxページ

oo

(見出し)2節 物語B

(見出し)脚注

以下略

特に高校の古文・漢文の教科書の脚注について、出現する頻度が高いケースについてご説明します。

国語や道徳など一部の書目で、ページ下部にある原本の脚注は、本文の音声読み上げの妨げにならないよう、本文の途中ではなく、該当章・節・項の終わりにまとめて配置しています。

古文・漢文などにおいて、脚注が本文と同じ1ページに収まっているケースもありますが、脚注を、該当する章・節・項の直後にまとめる点は変わりません。

例:古文・漢文の単元で、本文・脚注・学習コンテンツが1ページに収まる場合の、ARの音声教材上での見た目のイメージ

(見出し)本文タイトル

本文

あれば学習コンテンツ等

(見出し)脚注

xxページ

脚注の内容

画像

挿絵なし版DOCX・EPUBファイルには、以下の画像類が入っていません。
  • 本文中の図表
  • 写真/イラスト/アイコン
  • 巻頭巻末資料
  • QRコード
  • 著作関係者一覧
  • 図形、グラフ、図の穴埋め問題等
  • 漢文の原文
  • 楽譜
  • 一部の化学式

英語の発音記号の取り扱いにつきましては、「教科別」の「英語」の項をご参照ください。

小中学校の教科書はすべて挿絵ありで製作しています。高校の教科書は、挿絵入れ希望の受付期間内に、挿絵あり版が希望された場合のみ挿絵あり版を作成します。過去に挿絵あり版が製作済みである書目については、そこから正誤表適用をして製作する場合、挿絵あり版のみ提供します。

差分から作成する書目で、もととなる教科書データが挿絵なし、希望されているのが挿絵あり版の場合、原則挿絵なし版を先に提供し、あとから挿絵あり版を提供いたします。

ARの音声教材では、文字起こしされていない図表、ページがあります。例えば、巻頭巻末資料等です。そのようなページでは、挿絵あり版では、原則相当する画像を入れています。

挿絵なし版では、「(テキスト化省略/テキストがないページ)」と書いているか、そのページから始まる項目がある場合には、その項目に相当する見出しのみつけています。

以下の画像のような、教科書原本では、矢印や波括弧{とともに出てくるテキストで、記号とテキストの位置関係が分かりにくいものは画像を添えています。

記号とテキストの位置関係が分かりにくいものの例
「7p3」という数式があり「7」に赤い丸、「3」に青い丸の印がついています。数式の右側に「7からはじめて」「7かける6かける5」という2行の記述があり、「7かける6かける5」の「7」の部分に「7p3」の7から矢印がひかれ、赤い丸の印がついています。「7かける6かける5」の記述の下には上向きの波カッコが添えられ、波カッコの下に「3個の積」という記述があります。「3個の積」の「3」の数字には、「7p3」の数式の「3」から矢印が引かれており、青い丸の印が添えてあります。

画像は、原則350dpi、小学校教科書のアイコンのみ200dpiに設定しています。画質について何かありましたら事務局までメールにてお知らせください。

アイコンとは、教科書の目次周辺・凡例・使い方ページなどで紹介されていて、本文で繰り返し使用されるマークやデザインを指します。

使い方ページに紹介がない/紹介ページがない場合でも、繰り返し出てくるデザインのものは入れています。
※アイコンであっても、色付きの番号のような見た目のもの、例えば、①、➋、 縦長の長方形に囲まれた、青い背景に白い数字のマーク といったようなものは入れていません。

文字で再現できるマークについてはアイコン画像を入れていません。アイコンに含まれる「?」「!」などの記号はテキストに起こしません。

数学/算数などで出現する、問1、例1、応用問題1などの文字に装飾が加わったものは、数値が頻繁に変わるうえに、箇所も多いのでアイコンで入れていません。

数値等が変わる場合でも、見出しとなるようなもの、例えば、LESSON 1、古典の窓 1、観察実験 1など、のアイコンは入れています。

令和7年度配布教科書から、より前の年度からの正誤表を適用して作成するのではなく、まったく新しく作成する小学校の書目の音声教材については、アイコンを入れません。アイコンが入った音声教材をお使いになりたい場合は、AccessReadingのほかに、日本障害者リハビリテーション協会の、マルチメディアデイジー教科書との併用をご検討ください。

高校の教科書では、教科書紙面上の背景的かつ装飾的な画像はARの音声教材上では入れていません。

ARの音声教材上で教科書紙面上の背景的かつ装飾的な像を入れていない例

以下の図で言えば、「もくじ」「第1章 蜘蛛の糸 ・・・1」「第2章 走れメロス ・・・5」「第3章 羅生門 ・・・10」(以下略)はテキストに起こしていますが、その背景に薄く入れられている太陽と雲のようなイラストなどは、画像としてARの音声教材では入れていません。なお、小学校・中学校の教科書については、背景的かつ装飾的な画像含め、すべての画像をARの音声教材に入れています。

「もくじ」「第1章 蜘蛛の糸 ・・・1」「第2章 走れメロス ・・・5」「第3章 羅生門 ・・・10」(以下略)という横書きのテキストの背景に太陽と雲のイラストが入れられている画像です。

複数の図・イラスト・テキストボックスが矢印等で結びついているとき、全体像を画像にとり、ARの音声教材に入れています。それらの複数の図それぞれに対応するタイトルがある場合には、個別にも画像にとります。

複数の図が近くにあっても、矢印等なく、完全に分けられる場合は、個別にだけ画像にとります。

編集したり、消したり、という手間が非常にかかる巻頭巻末資料等は、全体像のみを画像にとります。

教科書紙面上の解答欄につきましては、アイコンやテキストなどが何も入っていない場合には画像は入れません。

教科書紙面上の解答欄につきましては、アイコンやテキストなどが何も入っていない場合には画像は入れない例
教科書に直接回答を記入するための罫線や、大きな四角い罫線のない枠の形状をした解答欄の見本が示されています。

上の画像のような場合、アイコンやテキストを含みませんので、「---」や「□」のような文字で記述することもしません。

教科書紙面1ページまるごとや、見開きの画像などは、DOCXファイルでは、ページの余白をはみ出して表示されることがあります。大きさの調整はご自身でお願いいたします。

ページ番号について

ARの音声教材上で、ページ番号がどのように表示されるか、ご説明します。

DOCXファイルでは「===1ページ===」のように表示され、検索ができます。半角数字、たとえば23に「ページ」をつけて検索することで、23ページ、123ページ、223ページ…と「23ページ」を含む検索結果が表示され、目的のページへとぶことがより容易にできるようになります。DOCXファイルではページ番号は読み上げられません。

ただし製作上の都合で、複数のページをまとめて表記した場合、上記の方法では検索できない場合があります(この場合、ページ番号の表記は「8-9ページ」「8-10ページ」といったようになっています)。

また、令和6年度以降に新しく製作された教科書データにつきましては、複数のページの内容をつなげた場合でも、ページ番号の表記をまとめていないので、「===○ページ===」のあとに空白のページが生じることがあります(それが連続する場合もあります)。この方式では、たとえば8ページと9ページの内容をつなげた場合には、「8ページ」というページ番号表記、空白のページ、「9ページ」というページ番号表記、そのあとに8ページと9ページをつなげた内容、というふうになっています。

また、過去の一時期に製作した数学の教科書データでは、「===○ページ===」という表記をしておらず、ページ番号を数字でのみ表記していたため、半角数字に「ページ」をつけて検索することができないことがあります。

EPUBファイルではページ番号が文字では表示されませんが、ページ番号の数字を半角で検索することで、そのページへとぶことは可能です。ページ番号は読み上げられません。

EPUBファイルでは、ページ番号の数字を検索することで、そのページへとぶことは可能ですが、EPUBファイル上では、ページの境目を示す明確な目印はありません。

目次

教科書の目次のとおりに音声教材上でも見出し付けをしています。

「目次」「Contents」といった、目次のページのタイトルには見出しを付けています。

目次のページに、「目次」「Contents」といった、タイトルがついていない場合には、「目次」と書き足し、見出しを付けています。

著作者一覧、印刷年月日や発行年月日といった書籍情報などがまとめられているページには「原本奥付」というタイトルを書き足し、見出しを付けています。

DOCXファイルでは見出し部分は、製作の都合上青い文字となっています。

見出しの数が多すぎる場合や、本文が、教科書上の小さめのコラムの見出しにより分断されてしまう場合(この場合、本文の続きがコラムの中に入ってしまうため)などを除き、目次のページに載っている項目には原則すべて見出しを付けています。

見出しに脚注番号等が含まれる場合は、目次と同じテキストで見出しをつけ、脚注番号等を含んだ状態のテキストはその下に記述されています。

目次では「羅生門」という項目になっており、本文ではタイトルの「羅生門」が「1羅生門」と、「1」という脚注番号がついている場合

(見出し)羅生門
1羅生門

ARの音声教材では、基本的には目次のページに載っている見出しのみ、見出し付けをしています。

しかし、教科書紙面上で、複数の本文があったあとに、それらにまとめて対応する学習コンテンツが設定されている場合や、学習コンテンツの後などに見出し設定のないコラム等の長い文章が挟まる場合、情報にアクセスしやすいように、ARの音声教材では、脚注は各本文の直後に配置して、教科書の目次のページには載っていないコラムや学習コンテンツについて、見出し付けをすることがあります。

例1:複数の本文があったあとに、それらにまとめて対応する学習コンテンツが設定されている場合

万葉集

脚注
古今和歌集

脚注
万葉集と古今和歌集の学習コンテンツ(←例外的に見出し付けをします)

例2:学習コンテンツの後などに見出し設定のないコラム等の長い文章が挟まる場合

本文

脚注
コラム(←かなり長い場合には例外的に見出し付けをします)

奥付

著作者一覧や印刷発行年月日が掲載されているページである、教科書原本の奥付ページのあとに付録がある場合は、ARの音声教材上での順番としては、教科書原本の奥付→付録→音声教材製作者奥付となります。音声教材製作者奥付は、音声教材上では、一番最後に配置しています。

教科書紙面の見た目を再現する際のルール

教科書紙面上の数式、化学式などを、音声教材上で文字で表現をするために、関係する上付き・下付き表現は再現をします。

電子式、筆算、数式に打ち消し線がある場合

電子式や、筆算、数式に打ち消し線がある場合など、文字で表現できない式の場合には画像を入れます。数式に打ち消し線がある場合には、画像の後に、打ち消し線がない状態の式を文字で入れています。

「電子式、筆算、数式に打ち消し線がある場合」の例が示されています。電子式は「ホウ素(B)」が描かれ、上辺、下辺、右辺に不対電子が1つずつ描かれています。筆算は「38たす14は52」という数式が筆算の形で書かれています。数式に打消し線がある場合は「5ぶんの4割る8イコール」という式の右側に、同様の式が分数の形で記されています。分母に5かける8、分子に4と書かれており、そのうち分母の8と分子の4にそれぞれ打消し線が引かれ、分母の8の打消し線の右隣に2、分子の4の打消し線の右隣に1という数字が記されています。

教科書紙面上で上付き・下付きとなっている脚注番号、参照ページ番号、生没年等につきましては、上付き・下付きをする・しないで意味が変わらなければ、音声教材上では上付き・下付きはしません。

教科書紙面で、上付き・下付きで情報が記述されているとき、音声教材上では、該当箇所の後ろに、半角かっこに入れた状態で記載します。

上付き・下付きで情報が記述されている場合

下図のように、教科書紙面上でRNAに下付きでribonucleic acidなら、音声教材上では「RNA(ribonucleic acid)」と記載します。

RNAという単語の右側に、1つスペースがあり、その後ろにribonucleic acidと書かれています。

教科書紙面上で下線がひかれている部分は、ARの音声教材上のテキストでは再現されていません。相当する画像も入れていません。

教科書紙面上で太字となっている部分は、ARの音声教材上のテキストでは再現されていません。相当する画像も入れていません。

旧字体となっている文字について

教科書紙面上で旧字体となっている文字については、ARの音声教材では正しく音声読み上げされるよう、新字体を記載します。

例:石川「たく」木の「たく」

旧字体と新字体で「たく」の漢字が並んで示されています。左側に旧字体の「たく」の漢字、右側に新字体の「たく」の漢字が書かれています。

教科書紙面上で新字体の横にルビ風に旧字体が書かれている場合は、ARの音声教材では旧字体の画像は入れず、新字体のテキストのみ記載します。

「ㇻ」(小さいカタカナのラ)につきましては、音声読み上げがされない可能性がありますが、アイヌ語の表記を再現するため、「ラ」(大きいカタカナのラ)ではなく、「ㇻ」(小さいカタカナのラ)と表記いたします。

四角に囲まれた文字が出現した場合

下記のような、四角に囲まれた文字が出現した場合には、画像では入れていません。「ア□」と表記しています。ただし製作時期などにより「□ア」の表記ゆれがあります。

長方形の四角形の中心にカタカナで「ア」と記されています。
数式の中に文字が含まれるようなものについが

以下のような、数式の中に文字が含まれるようなものについては、製作時期によって、挿絵あり版なし版に関わらずテキスト(LaTeX形式)で再現されている、挿絵あり版なし版に関わらずテキストとしてのみ書き起こされている、挿絵なし版はテキストとしてのみ書き起こされ、挿絵あり版だと画像がテキストに添えられる、など再現方法が複数あります。現在では挿絵あり版なし版に関わらずテキスト(LaTeX形式)で再現に統一しています。

BMI指数を表現する式が示されています。BMIイコール身長(メートル)かける身長(メートル)ぶんの体重(キログラム)、という分数式です。

注番号1も1⃣も、テキスト上では1表記になります。

1と①➊は見分けがつくような表記方法となっていますが、音声教材のみをご覧いただく場合、注番号の色や形では区別をつけられない場合があります。

例えば以下の図は、教科書紙面上で、茶色い半角のアラビア数字の1 を楽器の名前、茶色い四角形に入っている白抜きで半角のアラビア数字の1 を動詞のそばにつけ、それぞれ教科書下部で、より詳しい説明がなされている様子を模していますが、ARの音声教材上では、 茶色い半角のアラビア数字の1 茶色い四角形に入っている白抜きで半角の半角のアラビア数字の1 ともに、「1」の表記となります。

注番号の表記例
注番号の表記の例として「セロ弾きのゴーシュ」の一説が縦書きで記されています。
							「トランペットは一生懸命歌っています。ヴァイオリンも二いろ風のように鳴っています。クラリネットもボーボーとそれに手伝っています。」
							と記されており、「トランペット」の文字の右上に小さく茶色の注番号1、「歌って」の右上に小さく茶色い四角形に入っている白抜きの注番号1、
							「ヴァイオリン」の右上に小さく茶色い注番号2、「鳴って」の右上に小さく茶色い四角形に入っている白抜きの注番号2、
							「クラリネット」の右上に小さく茶色い注番号3、「手伝って」の右上に小さく茶色い四角形に入っている白抜きの注番号3が書かれています。

環境依存文字など、テキストで再現できるものはしています。再現できない文字などは音声教材上で画像を入れています。

教科別

算数

算数の分数に約分で斜線がひかれているような場合

教科書紙面上で、下図のように、算数の分数に約分で斜線がひかれているような場合、画像を入れたうえで、その画像の下に約分の斜線がひかれる前のテキストを書き起こしたものを記載しています。

分数式とその解法式、回答が記されています。
							5ぶんの4わる8イコール、という分数式の右側に5かける8ぶんの4という解法式が展開されており、
							分母の5かける8の8という数字に打消し線が引いてありその直下に2という数字が記載されています、
							また、分子の4にも打消し線が引かれ、その上に1という数字が記されています。
							分数式、解答式の下に、イコール10ぶんの1という回答が記されています。

数学

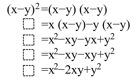
数学の教科書について、発見できている中だけでもDOCXファイルで、以下の図のように、定積分の公式の中、順列・組合せの前、左辺に文字が入っていない場合などで、式の中や先頭に、点線で描かれた四角形が入ってしまうことがありました。これらの点線で描かれた四角形は教科書原本にはないものです。

定積分の公式内に、不要な、点線で描かれた四角形が入っている場合
定積分の公式の中に、点線で描かれた四角形が入ってしまっている例です。
							定積分の公式は、上の辺がaからb、下の辺がf(x)dxと記され、そのあとにイコールだいかっこF(X)だいかっこaからbイコールF(b)マイナスF(a)となっています。
							点線で描かれた四角形は上の辺のaからbと下の辺のf(x)dxの間に入っています。
順列や組合せの前に、不要な、点線で描かれた四角形が入っている場合
順列式と組み合わせ式の前に、点線で描かれた四角形が入ってしまっている例です。
							順列式は7p5、組み合わせ式は6C2と記載してあり、それぞれの式の前に点線で描かれた四角形が入っています。
左辺に文字が入っていないときに、不要な、点線で描かれた四角形が入っている場合
数式を展開し改行したあとのイコールの前に、点線で描かれた四角形が入ってしまっている例です。
							数式は小かっこxマイナスy小かっことじるの2乗イコール小かっこxマイナスy小かっことじる、
							小かっこxマイナスy小かっことじる、と記されています。
							その下に展開式が4行あり、すべての左辺に文字が入っていないとき、イコールの前に点線で描かれた四角形が入っています。
							展開式1行目はイコールx小かっこxマイナスy小かっことじる、マイナスy小かっこxマイナスy小かっことじる
							2行目はイコールxの2乗マイナスxyマイナスyxプラスyの2乗
							3行目はイコールxの2乗マイナスxyマイナスxyプラスyの2乗
							4行目はイコールxの2乗マイナス2xyプラスyの2乗と記載され、それぞれの左辺、イコールの前に点線で描かれた四角形が入っています

読み上げさせた場合には、確認できている範囲ですと「から」と読み上げられることがあります。

現状この点線で描かれた四角形をすべて発見して取り除くことは困難であるため、ARの、数学の音声教材上で残っている場合があります。より新しく作成されたものでは出現頻度は減っています。

連立方程式につきましては、テキスト(LaTeX形式)で記述します。

英語

発音記号につきましては、小中学校の教科書の音声教材では画像で入れています。高校の教科書の音声教材では《〓》となっています。

文の途中に発音記号が出てくる場合

ただし、高校の教科書の音声教材でも、以下のように、文の途中に発音記号が出てくる場合には画像で入れていることがあります。

発音記号が文章の中に記されている例が示されています。
							これはリダクションの例で、p、b、t、d、k、gの発音記号が文中に並べられているようすを表しています。
							具体的には「スラッシュpスラッシュ、スラッシュbスラッシュカンマ、スラッシュtスラッシュ、スラッシュdスラッシュカンマ、
							スラッシュkスラッシュ、スラッシュgスラッシュは、…(以下略)」という例文が書かれています。
アクセントやリズム、発音を表す図や記号が文に添えられている場合

英語で、教科書紙面上で以下の例のように、アクセントやリズム、発音を表す図や記号が文に添えられているときは、文と図を一緒に画像に撮って音声教材に入れています。

アクセントやリズム、発音を表す図や記号が文に添えられている例が示されています。
							I am good at talking with others.という英文が記され、「good」と「at」、「at」と「talking」の単語どうしを
							つなぐ曲線が単語から単語の下に引かれています。

高校古典

高校の、古文・漢文の教科書のレイアウトについてご説明します。

ARの音声教材では、挿絵あり版の漢文、また、挿絵あり版の古文で、行のわきに部分的に現代語訳が書いてある場合、本文画像が本文テキストの前に入っています。

国語や道徳など一部の書目で、ページ区切りで文が途切れる場合、読みやすさや本文の音声読み上げの妨げにならないように、後続ページの句点までを、前のページに配置しています。

古文に関しては、このルールの通りです。

ただし漢文でそれを行うと、本文画像と本文テキストがずれてしまうため、漢文だけは、後続ページの句点までを、前のページに配置することはせず、文を途切れたままにして、本文画像と本文テキストを一致させるようにしています。

漢文のレ点・一二点・上下点などの返り点は、テキストで表現していません。

本文や脚注に漢文が引用される場合

古文編や現代文編でも、本文や脚注に漢文が引用される場合には、挿絵あり版ではテキストの前に画像が入っています。コンパクトな画像で再現するために、教科書紙面上と見た目が異なることがあります。

例えば現代文編で、以下のような文章があった場合(■は漢文中の漢字を示しています)

現代語の文章内に、レ点と一二点のついた漢文の一節が、3行にわたりかぎカッコで引用されています。
							漢文は見本のため、文字の代わりに黒い四角形が配置されています。
							具体的な文章は以下の通りです。
							中国・唐代の詩人・李白の作品に、以下のような一文がある「■レ点■■二の点■■一の点」…(以下略)…

以下の漢文部分のみを

先ほどの例文の漢文部分のみを抜き出して表示しています。
							漢文部分は5文字あり、2行目の途中からはじまり、「■レ点■」までの2文字目で改行して、
							続きの「■二の点■■一の点…(以下略)…」が3行目の途中で終わるという状態になっています。

以下のようにコンパクトに編集してテキストの前に入れます。

先ほど2行になっていた例文の漢文部分が、1行に成形された状態で表示されています。
							5文字の漢文部分は、行頭から改行をぜず1行で「■レ点■■二の点■■一の点」と記載されています。

音楽

上付き・下付きの処理をしない場合

下図のような、「♭」や「♯」、あるいは「sus4」といった部分は、教科書紙面上で上付き・下付きになっていても、ARの音声教材では上付き・下付きの処理をしておりません。

アルファベットのBという大文字の右上に小さいフラットの記号がついているようすが例として挙げられています。

その他

ARの音声教材では、過去に分割版・熟語まとめ版も提供していましたが、現在は一括版のみ作成しています。